Premier Energy Furnizare, unul dintre marii furnizori de energie electrică pentru populație, are acum o ofertă de energie electrică interesantă și din alt punct de vedere decât cel al prețului.
Premier Energy Furnizare are acun, și este valabilă până la sfârșitul lunii, oferta concurențială denumită PE Rezidențial Online Promo. Aceasta “se adresează clienților finali casnici, persoane fizice, care nu au calitatea de prosumatori și utilizează energia electrică exclusiv pentru consum propriu în scop rezidențial (nu pentru activități comerciale sau profesionale) și aleg să primească corespondența în format electronic, prin e-mail, să utilizeze aplicația mobilă PE MyInfo și să activeze serviciul de plată prin direct debit”.
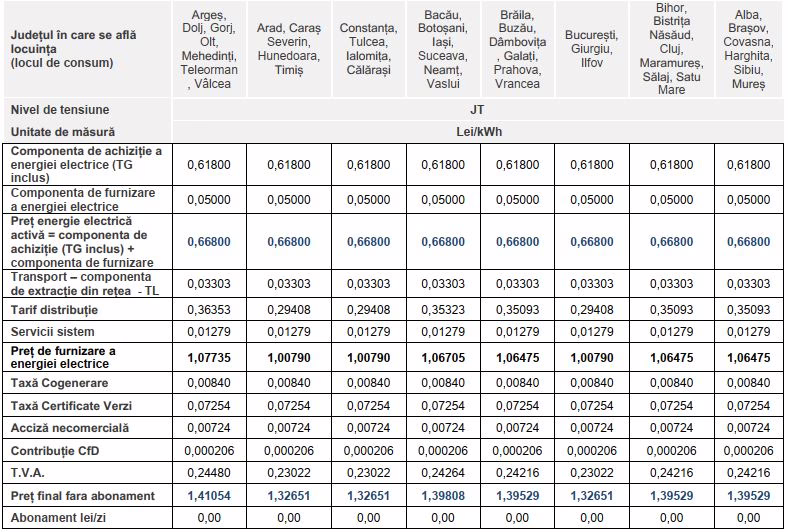
Prețul din această ofertă este unul competitiv în condițiile actuale, de 0,668 lei/kWh, la nivel de energie activă, ceea ce face ca prețul final facturat, cu tot cu tarife de rețea și taxe, să fie cuprins între 1,32 și 1,41 lei/kWh, în funcție de zona de rețea.
Compania spune că prețul energiei active din această ofertă promoțională este cu 15 bani/kWh mai mic decât cel din oferta concurențială standard a companiei, PE Rezidențial Online
Iată aici prețurile pentru fiecare zonă de rețea pentru această ofertă

Contractul se încheie pe perioadă determinată până la data de 30.06.2026, cu posibilitate de prelungire automată, fără a fi necesară încheierea unui act adițional, cu perioade succesive de 3 luni.
Oferta Premier Energy este limitată
Ineditul acestei oferte este că ea este limitată, adică se adresează unui număr limitat de clienți, ceea ce înseamnă că furnizorul are la dispoziție o cantitate limitată de energie pe care o poate vinde la acest preț. Și anume, ea este limitată la doar 5.000 de contracte noi încheiate, lucru pe care nu l-am mai văzut vreodată la alți furnizori – de regulă cine dorea să vină cu oferte limitate, venea cu o perioad scurtă în care se poate activa oferta.
“Prezenta ofertă a fost întocmită la 19.09.2025 și este valabilă în perioada 22.09.2025 – 31.10.2025, în limita a 5.000 de contracte de furnizare a energiei electrice încheiate în perioada menționată, fiind emisă în baza cerințelor legislative în vigoare la data întocmirii prezentei oferte”, arată compania în ofertă.
Premier Energy Furnizare este fosta CEZ Vânzare, firma de furnizare de energie electrică și gaze cumpărată de Premier de la Macquarie, care la rândul ei o cumpărase de la CEZ, atunci când cehii au vândut tot business-ul din România.
După achiziție, compania este principalul furnizor de energie electrică din sud-vestul României, și este și furnizor de gaze naturale, cu un portofoliu de aproximativ 1,2 milioane de clienți casnici și non-casnici.
Citește și:






